欢迎光临南京望知星商城网站
注册登录 我的订单 购物车
关键词:

酮洛芬  Ketoprofen  159490-55-8

批量搜索 询价篮(0) 购物车(0)
13276650839
  • 产品中心
    • 对照品
    • 其他
  • 首页
  • 产品定制
  • 证书下载
  • 关于望知星
  • 新闻资讯
  1. 首页
  2. 产品中心
  3. 对照品
  4. 吉美拉西
  • 曲拉西利 其他 标记化合物 EP药典杂质 医药中间体 亚硝胺杂质 对照品 奈他地尔 伊曲莫德 苯环喹溴铵 缬苯那嗪 G201-SMB-IMP 金鱼草素 纳美芬 艾沙利酮 RMC-6236 脂质体 碘比醇 阿布昔替尼 pcsk9抑制剂 利那拉生 迈科莱 苯佐那酯 海克替啶 吡柔比星 达利雷生 他喷他多
  • 多替诺德 测试 右美沙芬 托莫西汀 氯雷他定 氨苄西林 达克替尼 格拉司琼 托烷司琼 胺碘酮 布瓦西坦 吡啶 乙醛 氯唑西林 甲羟戊酸 替诺福韦 地塞米松 乙二胺四乙酸 奥扎格雷 奎宁 洛贝林 卢帕他定 奥氮平 阿哌沙班 安非他酮 多肽 西那卡塞 胆碱 青霉素 纳洛酮 吲哚布芬 洛索洛芬 肉桂酰胺 白消安 脂肪酸 格列吡嗪 地匹福林 红霉素 氯苯那敏 泰必利 奥洛他定 帕瑞昔布 地氯雷他定 伊班膦酸钠 蛋氨酸 苯甲酸 氟氯西林 D-泛醇 普瑞巴林 异丙托溴铵 地佐辛 东莨菪碱 金刚烷 布托诺啡 哌拉西林 喜树碱 舍曲林 酮咯酸 奥美拉唑 阿加曲班 阿格列汀 苯唑西林 格列本脲 乐伐替尼 他唑巴坦 利塞膦酸 比索洛尔 替罗非班 贝达喹啉 樟脑磺酸 帕罗西汀 依帕司他 肉毒碱 恩替卡韦 普罗帕酮 福多司坦 布比卡因 BUSPERIDONE 丁螺环酮 布他米酯 正丁烷 布坦卡因 丁烯酸盐 布替萘芬 丁烯酰胺 布康唑 布托巴胺 丁基羟基茴香醚 氰酸丁酯 丁醛 丁酰苯 铋 BI-6C9 BAL30072 巴兰诺尔 贝那普利 苯哌利多 苯海索 苄普地尔 倍他洛尔 联苯 邻苯基苯酚 没药醇 比沙克罗 双酚A 冰片 溴氯布罗特 氟比洛芬 氟伐他汀 氟磺胺草醚 福米西林 甲酰胺磺隆 刺芒柄花素 磷霉素 夫罗曲普坦 烟曲霉素 伏马菌素 呋喃烯啶 呋喃 2,4,5-涕丙酸 法达普韦 泛昔洛韦 法匹拉韦 氟茚唑菌胺 氟雷拉纳 氯氟吡氧乙酸 福沙那伟 FF-MAS 5(6)-羧基荧光素琥珀酰亚胺酯 FALIMINT 非布索坦 多索茶碱 强力霉素 多西拉敏 决奈达隆 羟丙哌嗪 屈螺酮 屈他维林 杜克甙 度洛西汀 度他雄胺 达克罗宁 地屈孕酮 达那唑 癸醇 DECATRIENAL 得曲恩特 依托孕烯 地特诺 地塞比诺 地克珠利 双环素 己烯雌酚 二氟尼柳 二异丁香酚 N,N-二甲基异丙醇胺 迪曼尼 苯地洛尔 二苯基甲硫醇 地夸磷索 昂丹司琼 芒柄花苷 双肼酞嗪 奥比沙星 冬凌草甲素 东方菌素 奥利万星 嘧苯胺磺隆 奥米沙班 欧地霉素 奥沙利铂 奥沙普嗪 奥昔拉定 奥昔布宁 乙氧氟草醚 催产素 奥泽沙星 奥比他韦 奥司他韦 低聚糖 奥利司他 奥拉多司 PA-824(硝基咪唑) PANDURATIN A PHA-793887 帕博西尼 左氧氟沙星 左西孟旦 甘草西定 利拉利汀 林可霉素 利谷隆 脂氧素 尼泊司他汀 党参炔苷 洛美沙星 洛莫菌 氯卡色林 洛沙坦 洛伐他汀 曲洛司坦 曲美布汀 曲美孕酮 曲美他嗪 曲美苄胺 原苯甲酸三甲酯 曲米帕明 三聚甲醛 曲普立定 雷公藤甲素 三蝶烯 曲格列酮 莨菪烷 曲帕替平 托吡卡胺 4-甲氧基多巴胺盐酸盐 色胺 2-庚胺 土克甾酮 松脂 对羟基苯乙胺 L-酪氨酸 TG-02 TAK-441 他卡西妥 他达拉非 他林洛尔 替比培南酯 罗匹尼罗 罗哌卡因 罗格列酮 罗替戈汀 罗通定 罗沙替丁 甜叶悬钩子苷 卢非酰胺 吴茱萸次碱 罗丹明6G 甲状旁腺素 RWJ-52353 消旋卡多曲 雷米普利 瑞芬太尼 白藜芦醇 视黄醇 碘代酚 瑞来巴坦 罗库溴胺 溴米索伐 溴哌醇 布罗波尔 丁咯地尔 丁呋洛尔 布诺洛尔 丁二醇 丁醇 丁烯硫醇 苄索氯铵 比阿培南 双孢唑类二恶英 溴西泮 燕茜素 枯草菌素 巴氯芬 巴洛沙星 苯并双环酮 苯并呋喃 安息香 苯醌 佛手苷内酯 贝西沙星 乌苯美司 甜菜红 贝曲西班 氟吡草酮 丙烯菊酯 生物蝶呤 生物素 比哌立登 双降生物素 双氟脲 比伐卢定 博莱霉素 布南色林 帕洛诺司琼 丙戊酸 美金刚 樟脑 贝前列素 伊伐布雷定 伏立康唑 唑来膦酸 瑞格菲尼 索拉非尼 雷夫康唑 非韦匹仑 非达司他 福沙吡坦 氟维司群 食品黄 磺达肝癸钠 加替沙星 吉非替尼 吉列替尼 钆贝酸 钆喷酸 半乳酸 没食子酸 葡糖二酸 葡糖酸 谷氨酸 甘油酸 二酚 二硫苏糖醇 多西他赛 十二烷醇 多奈哌齐 度骨化醇 DRIMANOL 氟哌利多 地喹啉 地西泮 双氯磺草胺 鼠得克 地尔硫卓 二硫仑 十二烷基三乙铵 多瑞培南 多沙普仑 达比加群 帕唑帕尼 PB-141 PICTILISIB 帕马考昔 帕纳替尼 拉西替尼 苄草丹 茯苓酸 棕榈酸 棕榈油酸 帕吡莫德 泛解酸 仲班酸(乙二酰脲) PD 0325901 PD 173074 培美曲塞 苦楝酸 正戊酸 苯丙酮酸 磷乳酸 亚磷酸 磷酸 邻苯二甲酸 美商陆酸 苦味酸 匹多莫德 虱螨脲 木犀草素 LOXO-195 LEQ-506 雷迪帕韦 乐特莫韦 洛布卡韦 洛匹那韦 芦马卡托 拉罗皮兰 拉坦前列腺素 利非斯特 利马前列素 罗匹昔巴特 LX7101 美司那 MHBMA 马里佐米 甲硫威 马拉维若 MCC950 甲氧基-2-萘乙酸 甲基二磺酸 MONIC ACID MPC-3100 马来酸 苹果酸 替莫普利 TEMPOL 松油醇 四氯苯酚 tevenel 替占帕奈 甲砜霉素 THIOQUINAPIPERIFIL 噻吩那西林 噻吗洛尔 替吡嘧啶 替可的松 妥曲珠利 曲马多 喘乐普利 反-4-氯巴豆醇 曲前列环素 三氟哌利多 三氟醋柳酸 三甲胺盐酸盐 抗倒酯 三羟甲基氨基甲烷 色氨酸 妥布特罗 对羟基苯乙醇 他唑巴坦酸 替诺昔康 十四烷基吡啶 噻虫嗪 杀虫环 替卡西林钠 托非索洋 托定磷钠 甲氧苄啶 曲司氯铵 他莫瑞林 酞氨西林 他拉卟吩 他替瑞林 他莫昔芬 诺普利兰 雷马曲班 雷美替胺 雷莫司琼 雷帕霉素 瑞加德松 瑞考伐普坦 瑞格列净 树脂毒素 苄蚨菊酯 试卤灵 瑞他莫林 瑞伐拉赞 来福那辛 大黄酸 利巴韦林 核黄素 利福布汀 波生坦 布里菌素 柴胡毒素 布舍瑞林 布他磷 联萘酚磷酸酯 BQ-123 巴洛沙韦酯 BAZ2-ICR 解草酮 苯并二氟吡 比克替拉韦 博赛泼维 BMS-754807 BMS-846372 BMS-986165 贝利司他 贝罗曲司他 比马前列素 Brilanestrant β-环糊精 联苯芦诺 BAY U9773 头孢氨苄 卡比多巴 卡博替尼 卡非佐米 乙醇酸 甘草酸 钆双胺 钆弗塞胺 钆塞酸二钠 半乳糖 加兰他敏 佳乐麝香 神经节苷脂 加洛糖胺 格尔西明 吉西他滨 庚胺 吉哌隆 吉玛烯 孕二烯酮 羟色胺酮 玉米黄酮 银杏内酯 人参皂甙 格列波脲 格列齐特 格列美脲 格列喹酮 葡乳醛酸盐 葡萄糖胺 葡萄糖庚糖 氨基葡萄糖 葡萄糖 葡糖庚烷 草铵膦 AMPA ATLA2 阿贝西利 阿布罗替尼 阿卡替尼 七叶树皂苷B 阿法替尼 仙鹤草酚B 艾乐替尼 阿美替尼 夫拉平度 两性霉素 B 阿昔替尼 醋氯芬酸 诱惑红 氨芬酸 青蒿素C 松香酸 脱落酸 啶虫脒 乙酸 丙烯酸 己二酸 阿仑膦酸 泛影酸 氨基己酸 氨基乙酰丙酸 大豆苷 达巴万星 达氟沙星 达格列净 达托霉素 达菲那新 柔红霉素 紫花前胡素 德拉沙星 庚二酸 高脯氨酸 吡哌酸 新戊酸 多元不饱和脂肪酸 丙磺舒 丙酸 原地衣硬酸 蝶酸 甲酸吡嗪 吡啶乙酸 丙酮酸 丹皮甙 帕利哌酮 帕罗伐汀 泮托拉唑 罂粟碱 帕苯咪唑 帕吉维林 帕罗曼明 丙二酸 甲芬那酸 甲基丙烯酸 甲磺酸 甲基丙二酸 微酸 米诺膦酸 丝裂酶酸 红曲酸 黏酸 霉酚酸 玛卡酰胺 马卡替丁 乳酸镁二水合物 木兰花碱 丙二酸酯 丙二醛 麦芽糖 甘氨酸锰 马尼地平 甘露糖 马普替林 MATURINONE MATURONE 美登素 甲苯哒唑 美贝维林 美克洛嗪 甲氯芬酯 美托咪定 塞来昔布 赛度替尼 色瑞替尼 考比替尼 库潘尼西 CRENOLANIB 克唑替尼 CENICRIVIROC 鹅脱氧胆酸 氯丁酸 胆酸 克拉维酸 硫酸粘菌素 卡达唑胺 咖啡酰奎宁酸 辛酸 氨基甲酸 卡谷氨酸 鼠尾草酸 头孢尼西 绿原酸 变色酸 肉桂酸 柠檬酸 氯膦酸 二氯吡啶酸 黄脂酸 木香酸 色甘酸 胞苷酸 卡麦角林 蟹甲草酮 尸胺 咖啡因 CALACORENE 葡萄糖酸乳酸钙 (-)-羟基柠檬酸钙 卡米罗芬 卡培他滨 坦索罗辛 他司美琼 花旗松素 替卡法林 替克洛占 柚木柯因 氟苯脲 七氟菊酯 替考拉宁 特拉万星 替米沙坦 替格列汀 特拉唑嗪 TERFUBOXON 特利加压素 替莫瑞林 四乙基锡 四氢吡喃 胺菊酯 替唑生坦 硫灭松 塞奥芬 胸腺调节素 泰妙菌素 泰地罗新 替米考星 亭牙毒素 硫普罗宁 利福平 利福霉素 利福昔明 砜嘧磺隆 利伐沙班 利扎曲坦 杆孢菌素 瑞舒伐他汀 氨甲苯酸 氯氨吡啶酸 邻氨基苯甲酸 丙基辛酸 维生素C 天冬氨酸 车叶草苷酸 AZD 4320 AZD1080 AZD3965 AZD9291 壬二酸 阿比特龙 阿坎酸 阿卡波糖 全氢苊 乙酰丙嗪 乙酰胺 乙脒 乙酰唑胺 1,3-丁二酮胺 乙酰乙酸酯 丙酮 苯乙酮 ACETOTATE 乙炔 乙酰谷酰胺 阿考替胺 谷氨酰胺 戊二醛 谷胱甘肽 甘油磷酸盐 缩水甘油 甘氨酸 GNE-0723 芦竹碱 愈创奥 胍法辛 胍 鸟嘌呤 GNF179 G-1 GSK-3 钆特醇 吉非罗齐 吉美拉西 姜黄素 吉沙地芬 葡萄糖醇 甘油 飞燕草素 溴氰菊酯 皮肤素 DERRICIN 德舍瑞林 去氨加压素 去甲右美沙芬 丁醚脲 二嗪农 二嗪磷氧同系物 羟基二氯二苯醚 双氯西林 地氟沙星 氟脲杀 吡氟草胺 地高辛 醚菌胺 香叶木素 地奥司明 二恶英 地红霉素 地黄农 二硫醚 利尿剂 多拉司琼 多芬 多拉菌素 度硫平 多沙唑嗪 多塞平 多柔比星 倍癌霉素 DOTAP 达卡他韦 帕西瑞肽 帕图西隆 戊乙奎醚 DL-青霉胺 五氟磺草胺 戊酮 喷曲肽 戊聚糖多硫酸酯 戊糖苷 己酮可可碱 喷托维林 哌克昔林 紫苏酮 哌罗匹隆 奋乃静 PHARACINE 非那吡啶 苯乙肼 苯乙胺 苯茚胺 苯茚二酮 非尼拉敏 吩噻嗪 酚苄明 分特拉明 酚妥拉明 乙酸苯酯 苯乙酰谷氨酰胺 苯丙氨酸 苯胺 苯丁胺 苯基丁氮酮 苯丁酸盐 1,4-二异腈苯 苯福林 甲羟孕酮 甲氟喹 美夫西特 巨豆三烯酮 葡甲胺 三聚氰胺 美哌隆 甲萘醌 孟布酮 薄荷酮 哌替啶 美芬诺酮 甲苯丁胺 甲哌卡因 美吡拉敏马来酸盐 美喹他嗪 巯基嘌呤 美沙拉敏 美沙酮 松叶菊碱 甲基磺草酮 氰氟虫腙 安乃近 重酒石酸间羟胺 美他沙酮 甲康唑 甲烯土霉素 甲烷 甲磺酸盐 醋甲唑胺 乌洛托品 甲巯咪唑 甲氧普林 辣椒平 卡马西平 卡巴匹林钙 卡巴克络 咔唑 甘珀酸 卡比马唑 卡比沙明 羧甲司坦 卡依巴司丁 卡利拉嗪 CARISBAMATE 羧甲基纤维素钠 卡莫司汀 肌肽 卡罗维林 香芹酮 头孢噻嗪 头孢孟多 头孢硫脒 头孢西酮 头孢哌酮 头孢卡品 头孢吡肟 头孢克肟 头孢甲肟 头孢美唑 吖啶 吖啶黄 阿伐斯汀 丙烯腈 阿达帕林 腺苷 腺苷甲硫氨酸 阿地芬宁 肾上腺素 D,L-肾上腺素红 Adrogolide 印枳碱 阿伏巴唑 安哥司酮 阿戈美拉汀 阿霍烯 L-丙氨酸 ALAPTIDE ALASKENE 阿苯达唑 阿卡他定 阿氯米松 涕灭威砜 醛固酮 阿尔孕酮 海藻酸钠 阿利马嗪 阿立必利 阿罗糖 阿洛酮糖 烯丙胺 阿法多龙 交链孢烯 六甲蜜胺 阿尔维林 1-金刚烷胺 安巴腙 胺唑草酮 氨磷汀 脒氯嗪 氨甲萘醌 醋胺硝唑 氨基苯并托品 妥布霉素 托格列净 托麦汀 托伐普坦 苦楝素 拓扑替康 托氟沙星 曲贝替定 曲格列汀 维A酸 苯磺隆 敌百虫 三氯卡班 三氯生 肟菌酯 氟胺磺隆 三氯奎宁 三庚酸甘油脂 曲普瑞林 曲克芦丁 托拉菌素 B 泰乐菌素 罗红霉素 鲁伯斯塔 如氟沙星 鲁斯可皂苷元 芦丁 RO 6842262 雷特格韦 瑞德西韦 利托那韦 橡胶低聚物 瑞吡司特 利莫那班 利奥西呱 罗达司他 罗氟司特 罗拉吡坦 罗沙司他 瑞地生替 RSV-604 瑞卢戈利 甘醇 乙二醛 愈创醇 加巴喷丁 高良姜 加米霉素 卡泊芬净 天麻素 格尔德霉素 吉美沙星 吉格列汀 吉尼平 金雀异黄素 庆大霉素 土臭素 Germaben 赤霉素 光甘草定 葡糖苷 GLUCONAPOLEIFERIN 戈那瑞林 戈舍瑞林 葛兰素 草甘毒素 格里霉素 (+)-灰黄霉素 扁蓄苷 愈创甘油醚 GO 6976 加利地韦 更昔洛韦 格拉替雷 格列卡韦 GPR17 根天紫罗兰 吉维司他 达芦那韦 达沙布韦 二甲草胺 二苯醚 杜鲁格韦 染液 地夫可特 地诺孕素 地拉罗司 地加瑞克 恩沙替尼 恩曲替尼 埃罗替尼 甲氨蝶呤 甲氧明 苯甲酸酯 2-氯-3-甲氧基丙酸甲酯 甲酸甲酯 丁酸甲酯 亚甲基蓝 甲基麦角新碱 哌醋甲酯 甲酪氨酸 甲氧氯普胺 美托拉宗 美托哌丙嗪 甲硝唑 美西律 咪康唑 米多君 米非司酮 米屈肼 米力农 米替福新 米诺环素 米氮平 苯肼 吡啶苯咪唑 乙醇胺磷酸酯 磷酰胺 2,3-二氮杂萘 毒扁豆碱 八氢番茄红素合酶 吡啶甲酰胺 4-甲基吡啶 匹度苯宗 匹罗卡品 匹美噻吨 匹莫奇特 频哪酮 匹维溴铵 蒎烯 匹格列酮 匹泮哌隆 哌喹 哌嗪 哌啶 哌立度酯 增效醚 卵形椒碱 哌泊噻嗪 吡诺克辛 吡非尼酮 吡利霉素 吡咯庚汀 匹托非酮 匹杉琼 塑料添加剂 聚对苯二甲酸丁二醇酯 盐酸聚六亚甲基双胍 聚乙二醇 头孢地嗪 头孢噻肟 头孢匹罗 头孢泊肟酯 头孢喹肟 头孢拉定 头孢他啶 头孢替唑 头孢唑肟 CEFTOLOZANE 头孢曲松 头孢呋辛 吐根酚碱 三尖杉宁碱 神经酰胺 西替利嗪 氨基铬 氨磺必利 阿米替林 氨氯地平 三聚氰胺一酰胺 阿姆西汀 阿莫地喹 阿莫罗芬 阿莫沙平 香树酮 阿那格雷 阿那曲唑 雄烯二酮 阿奈可他 茴香烯 安格络苷 狭叶香茶菜素 敌菌灵 樟柳碱 苯甲醚 辛托品 番荔枝碱 GW501516 加尼瑞克 十六烷二酸 己酸 马尿酸 腐植酸 羟苯磺酸 猪胆酸 常山酮 哈尔满碱 哈巴俄苷 常春藤苷 天芥菜碱 天芥菜素 正二十一烷 正庚烷 1-庚烯-3-酮 六氟丙烷 扑米酮 正己烷 己烯 海索那林 组胺 DL-组氨酸 后马托品 原膜散酯 葎草烯 肼屈嗪 肼 甲醛腙 氢氯噻嗪 氢氟噻嗪 对苯二酚 羟氯喹 羟嗪 金丝桃苷 HBI-800 卤倍他索 依托考昔 EDC 依尔替酸 依托度酸 二十碳五烯酸 帕莫酸 依哌唑胺 利尿酸 苔酸 E6005 依巴斯汀 依柏康唑 爱康宁 蓝蓟定 松果菊苷 益康唑 依达拉奉 艾氟康唑 依氟鸟氨酸 SB 203580 司隆色替 塞卡替尼 舒尼替尼 莽草酸 唾液酸 硫糖苷C 舒林酸 水杨酸 SARGAHYDROQUINOIC ACID 癸二酸 琥珀酸 西尼莫德 山梨酸 鞘磷脂 多杀菌素 硬脂酸 辛二酸 氨基磺酸 硫酸 香桧烯 酵母氨酸 沙芬酰胺 水杨醛 水杨酰胺 沙格雷酯 夏佛塔苷 塞克硝唑 一叶萩碱 司来吉兰 芹子烯 常绿钩吻碱 千里光碱 千里光菲灵碱 短杆菌素 TP475 THIQ TECHNOCOLOR 替加氟 特拉匹韦 替扎卡托 米格列奈 丝裂酶 米托坦 米托蒽醌 帽柱木碱 米库氯铵 咪唑司汀 吗氯贝胺 莫拉胺 莫林酮 莫西多明 酸莫米松 野百合碱 吗啉硝唑 吗啉胍 莫沙必利 莫索尼定 毒蕈碱 月桂烯 肉豆蔻酰胺丙基二甲胺 肉豆蔻基-γ-吡啶啉氯化物 迈华替尼 MRI-1867 MU-PHE-HPHE-FMK 聚乙二醇(聚乙烯醇) 麦芽糖醇 麦芽酚 甘露醇 罗汉松脂素 马沙骨化醇 美沙洛尔 甲地孕酮 薄荷醇 美普他酚 美索巴莫 灭多威 美托洛尔 西曲溴铵 藜芦碱 西维美林 查耳酮 白屈菜碱 西达本胺 氯胺酮 盐酸氯环嗪 开蓬 氯胍 洗必泰 氯地孕酮 氯美扎酮 氯苯乙酮 氯甲酸酯 氯喹 氯丙嗪 泰尔登 氯塞酮 金霉素 氯唑沙宗 胆烷 色满 西苯唑啉 环索奈德 西可奈德 西尼地平 西咪替丁 辛可卡因 桉叶素 聚氯乙烯 泊马度胺 泊沙康唑 聚乙烯吡咯烷酮 普拉曲沙 解磷定 普拉克索 普兰林肽 普莫卡因 泼尼卡酯 泼尼松龙 蒽 蒽醌 安替比林 来他替尼 阿帕喹酮 阿扑吗啡 阿拉伯呋喃糖 阿曲唑 槟榔次碱 槟榔碱 蓟罂粟碱 精氨酸 阿立哌唑 香橙烯 青蒿氧烷 青蒿琥酯 阿替卡因 芦竹胺 阿斯利多 抗坏血酸棕榈酸酯 阿塞那平 积雪草苷 阿西马朵林 阿索肟 阿斯巴甜 阿司咪唑 阿替美唑 阿托伐醌 阿特拉津 阿南酰胺 阿伏苯宗 阿扎胞苷 索玛鲁肽侧链 依莫司汀 伊卢多啉 乙甲丁酰胺 依美斯汀 艾默德斯 依莫法宗 EMOXYPINE 恩曲他滨 恩哌罗林 恩他卡朋 肠内酯 恩杂鲁胺 乙哌立松 麻黄碱 Epiisopiloturine 依匹斯汀 依普利酮 氟哌啶醇 哈喹诺 正己醛 和厚朴酚 恶霉灵 金缕梅单宁 常春藤皂苷元 刺五加叶提取物 常春藤皂甙 心菊内酯 氧化苏木精 血色素 海姆泊芬 橙皮素 橙皮甙 除虫脲 硫丹 羟基地奥司明 高车前素 组氨瑞林 乙内酰脲 1,4-苯二酚 潮霉素 金丝桃素 羟基木犀草素 吡氟氯禾灵 赫斯特荧光染料 HU-308 噻螨酮 IACVITA 依鲁替尼 埃克替尼 艾代拉里斯 伊马替尼 双咪苯脲 艾瑞昔布 茚虫威 埃沙左米 艾拉莫德 春千里光碱 克氏千里光碱 番泻苷 丝氨醇 舍他康唑 舍吲哚 七氟烷 唾液酸乳糖 西布曲明 硅氮烷 硅氧烷 二甲硅油 2-氧代丁酸钠 亚氯酸钠 环己基氨基磺酸钠 透明质酸钠 索拉芬 索利夫定 斯巴汀 斯巴达力定 亚精胺 精胺 螺内酯 角鲨烯 二氢睾丸酮 星形孢菌素 司他夫定 甜菊碱 甜菊苷 琥珀酰亚胺 胃溃宁 三氯蔗糖 蔗糖 舒布硫胺 磺草酮 磺胺醋酰 磺胺氯哒嗪 磺胺嘧啶 磺胺地索辛 磺胺二甲嘧啶 磺胺多辛 磺胺林 磺胺甲二唑 磺胺甲恶唑 磺酰胺 柳氮磺吡啶 硫酸盐 磺胺噻唑 甲基磺酰甲胺 TIGOLANER 替拉那韦 他克莫司 2-(3,5-二氯苯基)-6-苯并恶唑甲酸 双硫磷 坦罗莫司 特丁磷 杀虫畏 刺蒺藜 EPZ6438 特罗司他 泰鲁司特 托匹司他 托舍多特 曲尼司特 曲伏前列素 野麦畏 TINOPALCBS-X 尿素 桂哌齐特 西尼必利 肉桂醛 肉桂基氯 桂利嗪 噌啉 环丙贝特 西沙必利 克拉屈滨 氯马斯汀 克立咪唑 氯维地平 克利溴铵 克利贝特 丙酸氯倍他索 氯西尼嗪 氯法拉滨 氯法齐明 四螨嗪 氯美噻唑 氯米芬 氯丙咪嗪 可乐定 氯丙胺 氯吡拉汀 氯他利酮 克霉唑 氯氮平 腺苷钴胺 羧化辅酶 椰子碱 辅酶 秋水仙碱 氮杂五苯 阿扎他啶 硫唑嘌呤 氮卓斯汀 阿折地平 氮杂环丁烷 偶氮二羧酸 AMG 900 阿伐曲泊帕 酸性红 27 阿贝卡尔 醋丁洛尔 醋硝香豆素 乙缩醛 阿屈非尼 白杨醇 别嘌醇 烯丙雌醇 交链孢酚 氨溴索 氨基丁醛 呱氨托美丁 阿拉伯糖醇 ARAMCHOL 阿比朵尔 阿瑞洛莫 ARL 67156 阿罗洛尔 阿普司尼 阿替洛尔 阿伐那非 米格列醇 米诺地尔 米罗那非 米索前列醇 莫达非尼 莫西普利 莫奈太尔 甲噻嘧啶 MTSL 美西林 美洛昔康 美罗培南 甲氧西林钠 甲基苯基吡啶 咪达唑仑 马西替坦 马杜霉素 孔雀石绿 马波沙星 MARESIN MATURIN MELATEIN 褪黑素 美利曲辛 美法仑 克霉灵 美芬妥英 硫醇 甲磺胺磺隆 MESUPRON 二甲双胍 泼尼松 別孕烷 孕烯醇酮 丙胺卡因 伯氨喹 普里米酮 丙氯拉嗪 甲基苄肼 普朗贝德 腐霉利 孕酮 埃博霉素 氟环唑 爱普列特 依替巴肽 厄多司坦 麦角日亭宁 麦角克碱 麦角甾 芥酸酰胺 芥菜甙 刺桐灵碱 赤藓糖 赤蘚紅 艾氯胺酮 恶泼西汀 4-烯丙基苯甲醚 雌酮 乙非君 酚磺乙胺 依他喹酮 乙烷 乙硫异烟胺 乙虫清 乙氧呋草黄 乙琥胺 乙酸乙酯 乙基甲基二硫醚 丁酸乙酯 5-乙基-2-羟基-3-甲基环戊-2-烯-1-酮 苯乙炔 依替卡因 依替福辛 依替福林 依托芬那酯 依托泊苷 乙螨唑 依曲韦林 欧天芥菜碱 依沙美肟 依西美坦 吡虫啉 咪喹莫特 脂肪乳剂 碘羟拉酸 异丙烟肼 异烟肼 依巴沙星 伊班膦酸 伊波加因 伊布利特 艾地苯醌 艾杜糖 异环磷酰胺 艾普拉唑 伊潘立酮 咪唑 咪唑烷酮 IMIDODICARBONIMIDIC DIAMIDE IMINE 亚氨基芪 米帕明 MMP抑制剂 吲达帕胺 吲唑 茚 酸性蓝 吲哚 磺胺异噁唑 磺基甜菜碱 舒必利 舒他西林二水合物 SF1126 日落黄FCF 司来帕格 SCH 209702 淀粉 沙库必曲 萨拉西诺 沙仑太尔 沙美特罗 SCHEMBL19801452 西普利醇 赛卡西醇 亚麻木酚素 塞克酚 芝麻酚 姜烯酚 硅烷二醇 硅烷醇 西地那非 乌帕替尼 十一碳烯酸 尿酸 伞形酮 伞形磷酸酯 十一烷 乙酸双氧铀 尿烷 尿苷 乌地那非 乌利司他 尿嘧啶 乌拉地尔 乌拉唑 熊去氧胆酸 氟利沙星 乌姆卡林 尿石素 乌布吉泮 UV-184 VG1 维生素A 伐地考昔 万得他尼 维卡布鲁替尼 维拉非尼 维莫德吉 维克里罗克 缬草酸 戊酸 维甲酸 维立诺雷 瓦尔地酰胺 松柏苷 古巴烯 狗牙花定 皮质酮 紫堇定碱 可替宁 复方新诺明 肌酸 肌酐 CRISABOROLE 色甘酸盐 巴豆醛 仙茅苷 红古豆碱 氰美马嗪 草津净 轮环藤宁碱 赛克利嗪 环苯扎林 环苯扎林 环黄杨星 环己酮 环巴胺 环戊烷 环喷托酯 环戊胺 CYCLOPEPTINE 环磷酰胺 环丙胺 环丝氨酸 环硅氧烷 莎草烯 赛庚啶 环丙孕酮 半胱胺 L-半胱氨酸 燕麦甾醇 安赛蜜 阿地溴铵 阿普唑仑 安美速 阿尼西坦 阿曲库铵 氨曲南 阿维菌素 Abridin 苦艾素 醋氨苯酸 醋孟南 阿西美辛 扑热息痛 杀扑磷 甲氧沙林 麻醉椒苦素 甲地高辛 嗪草酮 美伐他汀 美洛西林 米安色林 米卡芬净 微囊藻毒素 米哚妥林 米尔贝菌素 米那普仑 米拉贝隆 米拉米斯汀 米铂 丝裂霉素 红曲红胺 莫能菌素 莫西菌素 莫西沙星 普罗孕酮 脯氨酸 丙嗪 普美孕酮 普罗雌烯 异丙嗪 丙烷 溴丙胺太林 丙美卡因 炔螨特 丙烯 普罗潘非林 异丙氧磷 丙酰马嗪 丙酸盐 苯丙酮 丙哌维林 PROPOCTAMINE 乙酸丙酯 异丙安替比林 戊炔草胺 丙硫菌唑 丙硫异烟胺 原阿片碱 普罗替林 普卡必利 盐酸右旋麻黄素 长叶薄荷酮 嘌呤 吡咯脲 吡嗪酰胺 吡嗪 艾塞那肽 伊屈泼帕 Egonol 艾地骨化醇 依那普利 肠二醇 圣草酚 赤藓糖醇 艾司洛尔 雌甾醇 雌二醇 吲哌胺 肌苷 全缘干里光碱 促黑激素 杀虫剂 碘苄胍 IONYLIDENE 碘普罗胺 异泛影酸 三唑酰草胺 伊匹达克林 依普黄酮 异菌脲 光引发剂 德鸢尾素 马蔺子素 铁聚甲醛 艾沙康唑 异康唑 异氰酸酯 异氟泼尼龙 异氟醚 异吲哚 氯化氮氨菲啶 异美汀 异丙肾上腺素 盐酸异丙肾上腺素 异丙碘胺 异喹啉 异山梨醇 异硫蓝 异噻唑 异噻唑啉酮 盐酸苯氧丙酚胺 伊拉地平 伊曲茶碱 依托必利 伊曲康唑 胱氨酸 阿糖胞苷 胞苷 野靛碱 胞嘧啶 COTI-219 卡巴他赛 蟹甲草酚 骨化二醇 钙铂三醇 骨化三醇 油菜甾醇 菜油甾醇 坎沙曲 卡托普利 卡前列素 克伦特罗 卡利普多 CARQUEJOL 卡替洛尔 香芹酚 卡维地洛 葛缕醇 头孢羟氨苄 头孢丙烯 多聚乙酰 阿维A酸 阿克拉霉素 苯草醚 黄肉楠碱 阿法西芬 黄曲霉素 阿福豆苷 仙鹤草素 丙甲菌素 阿拉瑞林 阿呋唑嗪 阿利克仑 大蒜素 阿索萨米林 阿莫曲坦 芦荟苦素 芦荟甙 阿洛司琼 爱维莫潘 安贝生坦 唑嘧菌胺 莠灭净 烟碱霉素 酰嘧磺隆 氨氟沙星 阿米卡星 阿莫西林 甜橙油 骨甾烷醇 索布雷罗 索他洛尔 芦丁烯醇 斯皮兰特霍尔 豆甾醇 豆甾烷醇 司替戊醇 舒芬太尼 六氢大麻酚 丁香脂醇 舒巴坦 糖精 水杨苷 盐霉素 三裂鼠尾草素 盐酸沙丙蝶呤 沙拉沙星 沙立佐坦 菝葜皂苷元 蒜头素 沙格列汀 石房蛤毒素 塞拉菌素 生度米星 番泻苷元 墨蝶蛉 5-羟色胺 西洛多辛 瓦伦斯 缬胺 缬氨酸 缬氨腈 缬氨酰胺伏格列波糖 伐伦克林 瓦西辛 VcMMAE 维库溴铵 文拉法辛 阿替欧苷 马鞭草烯 马鞭烯酮 维塞胺 维拉唑酮 维洛沙嗪 长春碱 长春胺 长春新碱 长春地碱 长春瑞滨 长春西汀 老刺木碱 伏格列波糖 伏尔丁醇 莫扎伐坦 螺粘液杀菌素 莫匹罗星 姆替林 真菌毒素 杨梅素 MECOPROP MGB-BP-3 MMP MPP 锰福地吡 吡草胺 异丙甲草胺 粘多糖病底物 马罗皮坦 MAVOGLURANT 苯噻草胺 甲哌 米格司他 莫利司他 孟鲁司特 MRX-2843 MTX-1641 奈替尼 来那替尼 尼罗替尼 吡唑 吡唑啉酮 芘 哒草特 吡啶啉 溴吡斯的明 盐酸吡多胺 吡哆醇 乙胺嘧啶 嘧啶 焦磷酸钠 砜吡草唑 吡咯 四氢吡咯 吡咯啉 PYRROLOBENZODIAZEPINE 吡咯喹啉醌酸 紫杉醇 多效唑 帕塞维尼 人参环氧炔醇 泛醇 帕立骨化醇 喷昔洛韦 戊硫醇 戊醇 吡仑帕奈 培哚普利 雌三醇 乙胺丁醇 氘代乙二醇 乙醇 炔雌醇 盐酸乙丙嗪 乙二醇 双醋炔诺醇 2-乙基-1,3-己二醇 丁香酚 伊卡倍特 依考匹泮 依酚氯铵 厄他培南 艾司唑仑 伊多塞班 伊曲奈德 伊沙匹隆 艾杜糖醇 艾芬地尔 IGEPAL 咪达普利 茚达特罗 茚诺洛尔 巨大戟醇 肌醇 碘克沙醇 碘海醇 碘美普尔 碘帕醇 碘喷托 碘佛醇 异葑醇 氮异丙嗪 艾拉普林 亚胺培南 布洛芬 氨柔比星 香树脂醇 阿拉格列汀 血管紧张素 阿尼芬净 阿尼扎芬 番荔枝素 ANSECULIN 安他唑林 阿帕地松 芹菜素 安普霉素 阿贝卡星 熊果苷 青蒿素 头孢洛林盐 塞利洛尔 苯丁酸氮芥 氯霉素 叶绿素 百菌清 胆钙化醇 胆固醇 西拉普利 西洛他唑 西马特罗 肉桂醇 环丙沙星 克仑特罗 赤桐甾醇 氯碘羟喹 氯苯胺丁醇 氯苯达诺 氯吡格雷 氯羟吡啶 氯前列醇 氯氰碘柳胺 皮质醇 水飞蓟宾 辛伐他汀 西索米星 西索特林 西他沙星 西他列汀 索拉培隆 索非那新 生长激素 司帕沙星 斯帕森丹 稀霉素 壮观霉素 螺旋霉素 螺二氯芬 螺甲螨酯 螺旋藻 柄曲霉素 链霉素 苏丹 磺苄西林 伏氧西汀 伐地那非 维拉帕米 维卡格雷 维兰特罗 维米诺 瓦伯巴坦 液泡蛋白 井冈霉素 缬尼莫林 缬沙坦 万古霉素 尼达尼布 尼拉帕尼 尼帕芬那 萘甲酸 萘氧丙草胺 新绿原酸 烟酸 氟尼酸 3-哌啶甲酸 硝基戊基吡啶甲基胺 萘丁美酮 萘醌腙 萘替芬 纳美芬 纳曲酮 萘甲唑啉 萘 萘醌 那格列奈 尼波拉胺 奈法唑酮 甲基莲心碱 奈拉宾 新植二烯 新斯的明 苯巴比妥 苯酚 乙二醇苯醚 非尼拉朵 间苯三酚 蒎烷二醇 吲哚洛尔 松脂素 胡椒醛 皮拉格雷 吡布特罗 吡贝地尔 普可那利 聚多卡醇 水蓼二醛 聚乙烯醇 普拉格雷 吡喹酮 二苯哌丙醇 普罗布考 丙卡特罗 榄香素 依来曲普坦 大黄素 依帕列净 烯炔菊酯 恩尼汀 依诺沙星 恩拉霉素 恩诺沙星 表阿夫儿茶精 环氧氯丙烷 表柔比星 依普菌素 依普罗沙坦 马萘雌酮 氟哌噻吨 伊布莫仑 淫羊藿苷 依达比星 咪达那新 梨果仙人掌黄质 吲地司琼 吲哚菁绿 吲哚美辛 英加韦林 胰岛素 菊粉 伊格列净 厄贝沙坦 伊立替康 铁 靛红 异七叶皂苷 异丙隆 伊维菌素 咪唑乙烟酸 长川霉素 阿司匹林 虾青素 阿塔鲁伦 阿托伐他汀 阿托西班 桃叶珊瑚苷 阿维曲坦 阿伏帕星 印楝素 唑啶草酮 阿扎莫林 阿扎司琼 阿齐沙坦 阿奇霉素 甲酚 环阿屯醇 环氯胍 环戊醇 嘧菌环胺 多菌灵 头孢洛宁 头孢替安 头孢特仑 十六烷基吡啶 氯苯胺灵 西酞普兰 烯草酮 氯巴占 氯硝西泮 氯赛唑仑 考来维仑 交联羧甲基纤维素钠 卡达林 卡奇霉素 卡格列净 舒他西林 舒马曲坦 舒洛芬 吡啶酯 红花 沙奎那韦 司维拉姆 西美普韦 索非布韦 索伐普韦 倍半萜 独脚金内酯 沙瑞度坦 螺虫乙酯 舒维生 葡聚糖凝胶 舒更葡糖 塞替派 纽甜 奈立膦酸 奈康唑 硫酸奈替米星 奈韦拉平 尼卡地平 尼麦角林 氯硝柳胺 烟酰胺 尼古丁 硝苯地平 硝呋酚酰肼 硝呋拉嗪 尼鲁米特 尼伐地平 尼美舒利 尼莫地平 尼莫拉唑 尼索地平 尼替尼酮 尼群地平 尼扎替丁 壬二酮 壬三烯 辣椒素 降冰片烯 去甲肾上腺素 香兰素 加压素 维替泊芬 维伯格宁 氨己烯酸 维格列汀 脱氧卵磷脂 黄嘌呤 维吉尼亚霉素 维索米汀 维生素 维生素B12 维生素B5 维生素B6 维生素D2 维生素D3 维生素E 维生素K1 维生素K2 尹奎色亭 艾日布林 埃格列净 三芥子酸甘油酯 Es-生物烯丙菊酯 雌激素 乙烯利 依替米星 泽兰林素 半齿泽兰素 依格列汀 Elexacaftor 埃替拉韦 醚 依维莫司 依利格鲁司特 恶拉戈利 依法韦仑 丙二醇 敌稗 正丙醇 丙泊酚 普萘洛尔 丙硫氧嘧啶 PROXYL 双唑草腈 吡喃酮 嘧啶醇 邻苯三酚 帕马溴 帕米膦酸二钠 石油醚 青霉素 V 钾 辛硫磷 匹可硫酸钠 PIM447 吡拉西坦 吡罗昔康 匹美西林 聚季铵盐 普拉西坦 吡芬溴铵 甲氧磺草胺 扑蛲灵 帕利泊芬 李属素 芍药苷 尼泊金甲酯 对硫磷 帕珠沙星 茚地那韦 细胞内PH指示剂 依伐卡托 伊必那班 异丁司特 艾替班特 ICRT-14 伊洛前列素 甲氧咪草烟 抗氧剂 茉莉酸 贾可宾 药根碱 JABOTICABIN 爵筛奥素 茉莉素 JN7-69 K252A KL140061A K252C 贝壳杉烯酸 曲酸 氯氨酮 3-氨基-3-脱氧-D-葡萄糖 盐酸氯氨酮 酮康唑 几夫碱 地骨皮乙素 犬尿素 KF31327 K777 山奈酚 咖啡豆醇 鲸醇 卡那霉素 凯他色林 酮洛芬 酮替芬 凯林 夸胡林 K-RAS(G12C) INHIBITOR 硫酸角蛋白钠盐 LM11A 31 拉帕替尼 嘧菌酯 AZASPIRO 阿巴卡韦 乙草胺 阿昔洛韦 阿德福韦 阿福拉纳 甲草胺 酒精生物标志物 阿格列扎 安普那韦 蒿乙醚 蒿甲醚 阿扎那韦 黄芪提取物 唑啶磷 ABT-348 阿莫兰特 阿莫伦特 四烯雌酮 阿普斯特 阿瑞吡坦 氨来诺 AMX208 氟氯吡啶酯 双甲脒 AOZ 坎地沙坦 CANNFLAVIN CAPENSINIDIN 卷曲霉素 辣椒玉红素 克菌丹 卡铂 洋红霉素 卡洛芬 酪蛋白 儿茶素 头孢唑啉 头孢妥仑 头孢替坦 头孢西丁 头孢布烯 头孢霉菌素 头孢哌林 西伐他汀 杀草敏 氯嘧磺隆 枯草隆 托彻普 曲美替尼 酒石酸 牛磺脱氧胆酸 牛磺石胆酸 TD-198946 特地唑胺 替加色罗 硫代肌酸 噻洛芬酸 托灭酸 氨甲环酸 四氢氨基吖啶 坦度螺酮 酒石酸酯 酸性黄 炔诺酮 炔诺肟酯 羟基那可汀 去甲度硫平 去甲替林 去甲托品醇 去甲托品酮 诺司卡品 特女贞苷 NADPH 纳多洛尔 萘肟洛尔 萘呋胺 萘哌地尔 纳洛西酮 萘酚 奈必洛尔 橙花叔醇邻苯二酚 尼古博星 尼可地尔 硝呋太尔 非洛替尼 非罗考昔 氟马替尼 阿魏酸 芬戈莫德 氟灭酸 氟硅酸 氟苯吡菌胺 叶酸 亚叶酸 甲酸 富里酸 夫西地酸 荞麦碱 法莫替丁 牡荆素 沃诺拉赞 VP 14637 伐昔洛韦 缬更昔洛韦 伐司扑达 Vapendavir 维帕他韦 沃拉帕沙 伐度司他 伐米司他 弗纳卡兰 伏立诺他 维奈克拉 类胡萝卜素 威福利德 B WEHI-539 华法林 黄酮 黄嘌呤核苷 西帕米 甲苄噻嗪 木霉唑啉 木糖 木酮糖 黄嘌呤醇 黄腐酸 叶黄素(叶黄素) 黄药唑 希波诺尔 二甲酚 木糖醇 黄黄霉素 育亨宾 扬克那非 泽布替尼 培氟沙星 氯化花葵素 培比洛芬 二甲戊灵 垂叶黄素 喷沙西林 氟唑菌苯胺 脱氧助间型霉素 氯菊酯 (+)-蜂斗菜素 木犀草苷 非那西丁 苯乙双胍 酚酞 苯醚菊酯 乙苄香豆 苯妥英 根皮素 埃卡瑞丁 云杉苷 匹莫范色林 匹莫苯丹 短叶松素 球松素 唑啉草酯 匹伐他汀 拉罗替尼 氯那法尼 罗美昔布 乳酸 那塞罗 月桂酸 雷西那德 利奈唑胺 亚油酸 亚麻酸 石胆酸 拉西地平 拉科酰胺 乳交酯 乳糖 乳果糖 拉呋替丁 AZ-23 巴瑞克替尼 贝洛拉尼 贝伐单抗 比尼替尼 硼替佐米 博舒替尼 布立尼布 苯二甲酸 苯磺酸 甜菜醛氨酸 双草醚 硼酸 溴芬酸 巴比妥酸 苯烯莫德 氯苯甘醚 绿麦隆 毒芹素 西司他汀 顺铂 橘霉素 克拉霉素 克林霉素 氯尼辛 氯舒隆 古伦宾 考布他汀A4 考尼伐坦 共轭雌激素 虫草素 棒状杆菌素 香豆素 克罗米通 荜橙茄素 葫芦素 原花青素 氰钴铵素 尼呋索尔 尼尔雌醇 硝碘酚腈 瓜萎镰菌醇 NNAL 诺美孕酮 羟炔诺酮 炔诺孕酮 氟苯嘧啶醇 奈福泮 烯啶虫胺 硝基安定 纳地沙星 萘夫西林 NAMODENOSON 萘普生 海南霉素 纳拉曲坦 柚皮素 芸香柚皮苷 奈达铂 奈马克丁 新霉素 新棒曲霉素 新蝶呤 新苦木苷 沙蚕毒素 尼卡巴嗪 NICOLAIOIDESIN 烟嘧磺隆 烟碱苷 尼日利亚菌素 珠子草素 硝基呋喃 呋喃妥因 节球毒素 诺氟沙星 NOTOHAMOSIN 双苯氟脲 制霉菌素 N-硝基化合物 4-氨基吡啶 FAPYGUANINE 2,6,10-三甲基十二烷 常山乙素 非氨酯 非洛地平 芬苯达唑 葑酮 氟苯丙胺 非诺贝特 芬诺宁 非诺沙唑啉 芬哌酰胺 FENPROTALENE 维甲酰酚胺 芬司匹利 芬替康唑 二茂铁 非索罗定 非索非那定 FEXRAMINE 非那雄胺 黄烷酮 FLAVOPEREIRINE 黄酮哌酯 氟卡尼 氟尿苷 氟阿尼酮 氟酮磺隆 氟康唑 塔斯品碱 牛磺罗定 他伐硼罗 紫杉碱 他扎罗汀 戊唑醇 虫酰肼 特糠酯酮 特必夫定 环磺酮 替莫唑胺 替尼泊甙 替诺尼唑 替普瑞酮 特比萘芬 特布他林 特丁津 特康唑 对苯二甲酸 特非那定 来氟米特 特立帕肽 特立齐酮 特硝唑 萜烯 TERRYLENE 叔丁胺 特索芬辛 睾酮 双炔诺酸 米酵菌酸 啶酰菌胺 乳香脂酸 假马齿苋皂苷I 巴柳氮 盐酸班布特罗 巴米茶碱 巴比妥酸盐 巴尼地平 白僵菌内酯 巴多昔芬 倍氯米松 苯达莫司汀 昆布二糖 拉米夫定 拉莫三嗪 拉尼西明 兰瑞肽 兰索拉唑 L-羊毛硫氨酸 刺乌头碱 毛果天芥菜碱 劳丹宁 六驳碱 N-十二烷酰基肌氨酸 来那度胺 利比地平 纤精酮 乐卡地平 来曲唑 L-叔亮氨酸 氰醇 CYCLAZOSIN 氟氯氰菊酯 氯氟氰菊酯 氯氰菊酯 环丙氨嗪 杀螟丹 卡博特韦 坎格瑞洛 头孢克洛 头孢地尼 头孢噻呋 氯灭鼠灵 CYSTOFUR 毒死蜱 显色底物 卡莫司他 头孢他美 新利司他 西他司他 可比司他 头孢米诺 环吡酮 DBTA 丁布 匹凡西林 PLITIDEPSIN 纽莫康定 鬼臼毒素 聚甲酚磺醛 多粘菌素 多抗霉素 胆色素原 普拉沙星 普拉洛芬 哌唑嗪 7-生物蝶呤 普瑞霉素 PRN1008 前列环素 地诺前列酮 普罗瑞林 原薯蓣皂甙 普卢利沙星 野黑樱苷 蝶啶 普妥立定 石榴皮鞣素 嘌呤霉素二盐酸盐水合物 吡唑醚菌酯 氟虫吡喹 嘧啶磺酸盐 吡丙醚 那高利特盐酸盐 帕利普韦 ZHC-116 佐美酸 扎拉果酸 ZD7288 扎西他滨 玉米赤霉烯酮 齐多夫定 二乙基二硫代氨基甲酸锌 吡啶硫酮锌 齐拉西酮 唑尼沙胺 佐匹克隆 ZK 159222 泽拉烯醇 玉米醇 齐帕特罗 辛特洛 ZLN005 佐芬普利 左氯苯噻酚 唑吡坦 扎来普隆 扎洛洛芬 玉米素 玉米黄质 齐留酮 佐米曲普坦 柔比星 扎那米韦 ZOSUQUIDAR ZZR 佐他莫司 氟胞嘧啶 氟达拉滨 氟脱氧葡糖 氟氢可的松 联氟砜 氟茚二酮 氟甲喹 氟米松 氟桂利嗪 氟尼辛葡甲胺 肤轻松 醋酸氟轻松 氟可龙 芴 9-芴酮 荧光胺 氟哌啶酮 氟米龙 氟西汀 氟奋乃静 氟吡汀 氟氢缩松 氟咯草酮 氟他胺 氟替卡松 奈非那韦 双亚硝基 萘莫司他 奈妥吡坦 尼非卡兰 诺孕美特 硝呋替莫 Obicetrapib 奥拉替尼 奥拉帕尼 奥泼佐米 橙B 奥贝胆酸 十八碳三烯酸 油酸 乳清酸 草酸 氧嗪酸 奥扎莫德 黄柏酮 罗勒烯 辛二烯 辛烷 奥他维林 奥替尼啶盐酸盐 对甲氧基肉桂酸辛酯 水杨酸辛酯 奥克立林 奥克巴胺 奥曲肽 正辛胺 氯化锦葵色素-3-Β-葡糖苷 苄氟噻嗪 苯磷硫胺 贝尼地平 苯丙哌林 苄丝肼 苯甲醛 苯扎氯铵 苯甲酰胺 苯溴马隆 苯 苯二胺 苯磺酸盐 苄替米特 苯并咪唑 噻霉酮 苯佐卡因 苯二氮卓 苯甲腈 二苯甲酮 苯并芘 BENZOQUINE 苯噻二嗪 苯并三唑 苯并噁二唑 苯左氯铵 过氧化二苯甲酰 苯扎托品 丁苯那嗪 丁卡因 四环素 十四烷 四氢喹唑啉 汉防己甲素 沙利度胺 茶香螺烷 多索茶碱杂质3 茶碱 THERMOSPERMINE 噻菌灵 盐酸硫胺素 硫化环戊烷 噻唑 甲基苯基硫醚 硫色素 硫代秋水仙碱 硫秋水仙苷 硫氰酸盐 四氢噻吩 噻吩 硫利达嗪 替沃噻吨 松齐拉敏 L-苏氨酸 血栓素 屈西多巴 二乙烯三胺五醋酸 达拉非尼 伦扎必利 达沙替尼 迪纳西里布 多维替尼 双氯芬酸 达普他 迪拉马尼 去氧胆酸 二氢肉桂酸 二十二碳六烯酸 十二酸 海藻酸 达卡巴嗪 丹曲林 达帕康唑 达泊西汀 氨苯砜 白三烯 醋酸亮丙瑞林 左咪唑 左卡巴司丁 左西替利嗪 左旋-5-甲基四氢叶酸 左美吗嗪 左旋舒必利 L-甲状腺素 利可二酮 利多卡因 双戊烯 利那洛肽 亚油酰基肉碱 利拉鲁肽 利托西汀 洛度沙胺 黑麦草碱 洛美利嗪 洛美他派 洛莫司汀 长叶烯 洛哌丁胺 哌仑他韦 普乐沙福 残杀威 PTP抑制剂 全氟烷基磺酸盐 吡美莫司 哌草磷 PROTACS 帕比司他 百草枯 PRALICIGUAT 普仑司特 帕多芦诺 氯甲喹啉酸 喹硫平 喹高利特 喹酰胺 喹唑啉 4-羟基喹唑啉 喹法米特 奎尼丁 喹啉 对苯醌 喹喔啉 喹那普利 槲皮素 喹氧灵 盖草灵 拉多替尼 瑞格非尼 扎鲁司特 氟胺氰菊酯 氟伏沙明 FOENICULOSIDE 甲醛 福美司坦 伐虫脒 磷酸肌酐 果糖 FRULLANOLIDE 果糖嗪 富瓦烯 富马酸盐 呋喃他酮 2(5H)-呋喃酮 呋喃唑酮 呋塞米 2-(2-呋喃基)-3-(5-硝基-2-呋喃基)丙烯酰胺 敌克松 氟氧头孢 FG-2216 FTI-277 FK-565 镰叶芹醇 里哪醇 法舒地尔 非班太尔 非诺特罗 芬太尼 氟虫腈 氟苯尼考 苄达明 苄胺 贝他斯汀 黄连素 柑油烯 倍他司汀 甜菜碱 倍他米松 (R)-(+)-β-甲基苯乙胺 贝沙罗汀 苯扎贝特 比卡鲁胺 BICYCLODECANE 联苯双酯 联苯苄唑 比拉斯汀 白果内酯 BINUCLEINE 双吡唑酮 红没药烯 奥普力农 高三尖杉酯碱 奥匹卡朋 奥西那林 奥美昔芬(西替考马) 奥硝唑 鸟氨酸 奥非那林 奥培米芬 奥斯他林 奥替溴铵 恶唑 吡喃葡糖苷 牛磺酸 十溴二苯醚 癸烷 十胜肽 十碳三烯 癸烯 地西他滨 地洛西嗪 地喹奎酯 去铁酮 去铁胺 地美环素 脱氧葡萄糖 地昔帕明 地索奈德 DESOXIDODIDROVALTRATE 去羟米松 地托咪定 醋酸地塞米松 二胺 敌菌净 DIAZIDE 氯甲苯噻嗪 二丁基氨基甲酰氯 二氯苯氧乙酸 双氯非那胺 二氯酸盐 二环素 胸腺嘧啶核苷 胸腺嘧啶 双碘 百里醌 噻加宾 噻奈普汀 替勃龙 噻氯匹定 替加环素 顺-2-甲基-2-丁醛 替来他明 替利定 替洛隆 替硝唑 替诺立定 噻康唑 噻托溴铵 替瑞酰胺 替扎尼定 噻唑烷 妥卡尼 甲苯磺丁脲 托卡朋 托萘酯 托哌酮 托特罗定 劳氨酯 洛沙平 鲁比前列酮 卢立康唑 卢美哌隆 苯芴醇 羽扇豆鹼 鲁拉西酮 鲁苯达唑 番茄红素 石松胺 石蒜胺 盐酸石蒜碱 L-赖氨酸 拉氧头孢 瑞博西林 罗非昔布 鲁索替尼 RSC-3388 雷奈酸 瑞沙托维 雷西莫特 利太膦酸 雷贝拉唑 莱克多巴胺 碘醚柳胺 雷洛昔芬 异丙氨基比林 雷尼替丁 雷诺嗪 雷沙吉兰 阿德福韦酯 溴己新 苯海拉明 青霉素V 比沙曲嗪 没食子酸铋 黄细心酮 波尔定碱 硼酸盐 波那普令 乙酸龙脑酯 布索芬新 油菜素内酯 BREMELANOTIDE 布瑞哌唑 布雷洛嗪 溴莫尼定 布林佐胺 溴夫定 BROFLANILIDE 溴敌隆 溴苯 溴隐亭 溴乙胺 溴必利 溴苯那敏 溴丙嗪 布西拉明 布拉地新 布克立嗪 布地奈德 布氏酮 布美他尼 FLUDROCORTISOL 氟马西尼 氟脲嘧啶 粉唑醇 福辛普利 岩皂甾醇 糠醛 法罗培南钠 FASIGLIFAM 非诺多泮 双氟磺草胺 氟啶胺 氟硝西泮 氟吡菌酰胺 膦甲酸钠 苯赖加压素 苯丁锡 芬氟次林 菲诺洛芬 FERUTININ 非达霉素 非马沙坦 非那沙星 黄霉素 氟罗沙星 氟班色林 吡虫隆 氟虫脲 氟氯苯菊酯 丙炔氟草胺 荧光素 恶唑烷 恶唑烷酮 奥卡西平 奥昔卡因 奥吩达唑 奥苯达唑 奥昔康唑 环氧乙烷 氧代乙酸甲酯 奥索拉明 双氧异丁嗪 奥布卡因 氯羟柳胺 羟甲唑啉 羟保松 土霉素 硬脂醇 辛二醇 橄榄醇 奥达特罗 奥匹哌醇 谷维素 恶戊酯 氧烯咯尔 奥沙拉秦钠 奥美普林 奥沙西泮 奥拉西坦 赭曲霉毒素 辛基锡 氧氟沙星 竹桃霉素 欧夹竹桃甙丙 奥戈弗林 奥美沙坦 奥格列汀 地丹宁 苯醚甲环唑 双氟拉松 地弗拉松 二氟孕甾丁酯 二乙二醇二甲醚 二异丁烯 双乙烯酮 二甲弗林 苯海明 二甲基 二甲酸盐 二碳酸二甲酯 二甲基硫醚 二甲基丁二胺 二甲双烯 双咪唑 烯唑醇 二氧戊环 二丁胺 二苯胺 二苯基重氮杂环 二磷酸盐 盐酸二甲双胍 双嘧达莫 富马酸酯 雙柳酸內酯 地西他明溴化物 多巴酚丁胺 多卡巴胺 多库酯 乙酸十二烷基酯 多非利特 多潘立酮 多那辛 多佐胺 鲁索曲波帕 LIK066 拉贝洛尔 乳糖醇 兰地洛尔 黄钟花醌 莱龙泰素 熏衣草醇 左炔诺孕酮 赖诺普利 LLICOL 氯替泼诺 鲁米诺 羽扇豆醇 利奈孕醇 拉匹氯铵 左乙拉西坦 氯诺昔康 来洛霉素 拉肖皂苷元 醋酸兰瑞肽 利可君 亮抑酶肽 左洛啡烷 甲苯 托吡酯 苯吡唑草酮 托拉塞米 托瑞米芬 对氯苯乙酰腈 反苯环丙胺盐酸盐 曲唑酮 海藻糖 曲匹布通 曲安西龙 氨苯蝶啶 1,2,4-三氮唑 三苄糖甙 毛束草碱 曲西立滨磷酸酯 三氯苯达唑 三环唑 三环烯 十三碳二烯 曲恩汀 盐酸三乙烯四胺 TRIFAROTENE 三氟甲苯 5-三氟甲基尿嘧啶 三氟胸苷 萝巴新 雷佐生 瑞巴派特 甜叶菊甙 瑞波西汀 瑞格列奈 利血平 牛心果鹼 牛心果鹼(依佐加滨) 倒千里光碱 鼠李糖 罗丹宁 L-核糖 瑞氏千里光碱 利福喷丁 利马扎封 利美尼啶 利匹韦林 利鲁唑 利培酮 利托菌 卡巴拉汀 氯苯胍 罗波斯塔双黄酮 洛硝哒唑 二羧酸乙胺丁醇 甲磺酰 壬基酚 莫那匹韦 樟脑磺酸乙酯 雷芬那辛 巴瑞克替 6-O-ALPHA-D-葡萄糖- BETA-环糊精 甲磺酸酚妥拉明 乙基磺酸叔丁酯 乙酰 奥西替尼 羊毛硫氨酸 己烷 樟脑磺酸甲酯 乙酸酯 纳呋拉啡 麦芽酚铁 富马酸二异丙酯 亚硝基聚酰亚二乙酸 膦酸二乙酯 妥卡替尼 左旋多巴 依那普利拉 奈必洛尔EP 磷酸三异丙基 图卡替尼 米洛巴林 2,5-二氢呋喃-2-羧酸 加兰他敏右旋那维啶氢溴酸盐 2,5 二羧基L 哌嗪 毛果芸香碱盐酸盐 艾曲泊帕 叔丁基2,4-二甲基苯磺酸 草甘膦-1,2-13C2-15N 贝舒地尔 间羟胺 阿莫罗芬EP 氟氯西林钠EP 纳洛酮N-氧化物 环孢菌素D 内消旋酒石酸 青霉素钠CP 头孢托仑匹酯 N-甲基-4-硝基苯甲酰胺 赖氨酸 利伐斯的明 亮氨酸 沙米多芬 维生素B1 苯丁醚 米诺巴林 非奈利酮 奈玛特韦 色氨酸EP 二硝基苯甲酸 加格列净 N-硝基帕罗西汀 5-甲氧基辅酶Q10 脱氯氯米芬 三乙酸 丁溴东莨菪碱 2-(二甲氨基)-2-甲基-1-丙醇 邻二甲苯 马来酸酐 芬布芬乙酯 (Z,E) -青霉素F 1,2,4-丁三醇 苯乙酸 乙酰半胱氨酸 N-丙基丙氨酸 左旋樟脑磺酸异丁酯 芬布芬 美法仑EP 1-N-甲基-N-亚硝基氨基-1-脱氧-D-葡萄糖醇 3-亚甲基己酸乙酯 钆布醇 二吡啶三硫醚 吲哚啉 色甘酸钠 咯萘啶 地拉普利 莱特莫韦 6-氟脲嘧啶 季戊四醇二丙酸酯 3,6-二氧 地西泮EP 贝派地酸 甘氨酸乳糖加合物 蛋氨酸乳糖加合物 丁苯酞 酪氨酸 司美替尼 2,2-二氯-N,N-二乙基乙酰胺 L-酒石酸单乙酯 氯甲烷磺酸钠 组氨酸 4-氨基吡啶-2-磺酰胺 米安色林EP 二甘酯双磷酸钠 2-乙酰氨基苯磺酰氯 对氨基苯磺酸甲酯 苯基甘氨酸甲酯 斑蝥素 单苯甲酰酒石酸 莫雷西嗪 山梨糖醇 依伏卡塞-d4 双氯西林EP 喷他佐辛 依沙佐米 富马酸氯马斯汀EP 阿兹夫定 奥玛环素 伊司他星 伊司他星 甲基多巴 苯巴那酯 青霉素钠 右丙氧芬 乙二醇单甲磺酸酯 异冰片醇 缬更昔洛韦EP 亚氨基二苯乙烯 沙丙蝶呤 1,4-二氧六环 1-羟基哌啶-3-酮 哌罗匹隆(非对映异构体混合物) N-亚硝基阿托品EP 苯扎隆 鹅掌菜酚 维生素A棕榈酸酯 伊司他星 亚甲蓝 N-羧甲基-N,N-二甲基辛胺内翁盐 3-氯奎宁环 对甲苯磺酸 氨丁三醇 N-(3-氨基-2-羟基苯基)乙酰胺 2,6-二氨基苯酚 6-硝基-1,2,3,4-四氢萘 恩赛特韦 氨基甲酸叔丁酯 甲磺司特 替洛利生 标记化合物 阿扎兰司他 莱博雷生 愈创木薁磺酸钠 庚胺醇 美雄酮 右哌甲酯 维利西呱 依伏卡塞 DA-302168S 马立巴韦 替戈拉生 羟考酮 扎维吉泮 愈创木薁磺酸 Ibuzatrelvir 氘可来昔替尼 托西尼布 分子砌块 阿帕鲁胺 检测 多巴 依折麦布 沙丁胺醇 福莫特罗 托法替尼 帕拉米韦 阿维巴坦 格隆溴铵 硫辛酸 阿托品 替卡格雷 瑞美吉泮
    更多
列表 大图 按录入时间排序
  • 吉美拉西杂质1
    英文名:Gimeracil Impurity 1
    产品编号:GL-003001 CAS号: 分子式:C9H10ClNO3 分子量:215.64
    货号 品牌 规格 库存 价格 操作
    GL-003001-1mg 1mg
    市场价:询价 会员价:询价
    GL-003001-10mg 10mg
    市场价:询价 会员价:询价
    GL-003001-25mg 25mg
    市场价:询价 会员价:询价
    GL-003001-100mg 100mg
    市场价:询价 会员价:询价
    GL-003001-250mg 250mg
    市场价:询价 会员价:询价
    GL-003001-50mg 50mg
    市场价:询价 会员价:询价
    GL-003001-1g 1g
    市场价:询价 会员价:询价
    GL-003001-500mg 500mg
    市场价:询价 会员价:询价
  • 吉美拉西杂质2
    英文名:Gimeracil Impurity 2
    产品编号:GL-003002 CAS号: 分子式:C5H5ClN2O2 分子量:160.56
    货号 品牌 规格 库存 价格 操作
    GL-003002-1mg 1mg
    市场价:询价 会员价:询价
    GL-003002-100mg 100mg
    市场价:询价 会员价:询价
    GL-003002-10mg 10mg
    市场价:询价 会员价:询价
    GL-003002-1g 1g
    市场价:询价 会员价:询价
    GL-003002-250mg 250mg
    市场价:询价 会员价:询价
    GL-003002-25mg 25mg
    市场价:询价 会员价:询价
    GL-003002-500mg 500mg
    市场价:询价 会员价:询价
    GL-003002-50mg 50mg
    市场价:询价 会员价:询价
  • 吉美拉西杂质3
    英文名:Gimeracil Impurity 3
    产品编号:GL-003003 CAS号: 分子式:C4H5N3O5 分子量:175.1
    货号 品牌 规格 库存 价格 操作
    GL-003003-1mg 1mg
    市场价:询价 会员价:询价
    GL-003003-10mg 10mg
    市场价:询价 会员价:询价
    GL-003003-25mg 25mg
    市场价:询价 会员价:询价
    GL-003003-50mg 50mg
    市场价:询价 会员价:询价
    GL-003003-100mg 100mg
    市场价:询价 会员价:询价
    GL-003003-250mg 250mg
    市场价:询价 会员价:询价
    GL-003003-500mg 500mg
    市场价:询价 会员价:询价
    GL-003003-1g 1g
    市场价:询价 会员价:询价
  • 吉美拉西杂质4
    英文名:Gimeracil Impurity 4
    产品编号:GL-003004 CAS号:108-80-5 分子式:C3H3N3O3 分子量:129.08
    货号 品牌 规格 库存 价格 操作
    GL-003004-1mg 1mg
    市场价:询价 会员价:询价
    GL-003004-100mg 100mg
    市场价:询价 会员价:询价
    GL-003004-10mg 10mg
    市场价:询价 会员价:询价
    GL-003004-1g 1g
    市场价:询价 会员价:询价
    GL-003004-250mg 250mg
    市场价:询价 会员价:询价
    GL-003004-25mg 25mg
    市场价:询价 会员价:询价
    GL-003004-500mg 500mg
    市场价:询价 会员价:询价
    GL-003004-50mg 50mg
    市场价:询价 会员价:询价
  • 吉美拉西杂质5
    英文名:Gimeracil Impurity 5
    产品编号:GL-003005 CAS号:1379260-15-7 分子式:C6H6ClNO2 分子量:159.57
    货号 品牌 规格 库存 价格 操作
    GL-003005-1mg 1mg
    市场价:询价 会员价:询价
    GL-003005-10mg 10mg
    市场价:询价 会员价:询价
    GL-003005-25mg 25mg
    市场价:询价 会员价:询价
    GL-003005-100mg 100mg
    市场价:询价 会员价:询价
    GL-003005-250mg 250mg
    市场价:询价 会员价:询价
    GL-003005-50mg 50mg
    市场价:询价 会员价:询价
    GL-003005-1g 1g
    市场价:询价 会员价:询价
    GL-003005-500mg 500mg
    市场价:询价 会员价:询价
  • 吉美拉西杂质6
    英文名:Gimeracil Impurity 6
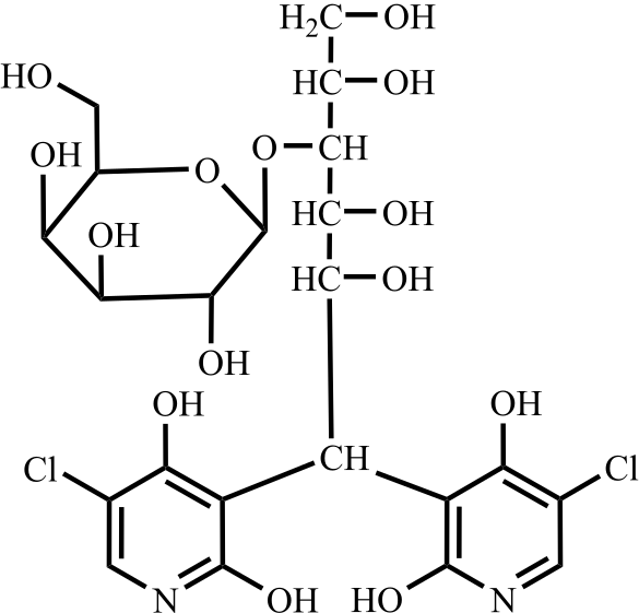
    产品编号:GL-003006 CAS号: 分子式:C16H18Cl2N2O9 分子量:453.24
    货号 品牌 规格 库存 价格 操作
    GL-003006-1mg 1mg
    市场价:询价 会员价:询价
    GL-003006-100mg 100mg
    市场价:询价 会员价:询价
    GL-003006-10mg 10mg
    市场价:询价 会员价:询价
    GL-003006-1g 1g
    市场价:询价 会员价:询价
    GL-003006-250mg 250mg
    市场价:询价 会员价:询价
    GL-003006-25mg 25mg
    市场价:询价 会员价:询价
    GL-003006-500mg 500mg
    市场价:询价 会员价:询价
    GL-003006-50mg 50mg
    市场价:询价 会员价:询价
  • 氧-2-吡啶基氨基乙酸
    英文名:Oxo-2-pyridinylaminoacetic Acid
    产品编号:GL-003007 CAS号:16817-89-3 分子式:C7H8N2O3 分子量:168.15
    货号 品牌 规格 库存 价格 操作
    GL-003007-1mg 1mg
    市场价:询价 会员价:询价
    GL-003007-100mg 100mg
    市场价:询价 会员价:询价
    GL-003007-10mg 10mg
    市场价:询价 会员价:询价
    GL-003007-1g 1g
    市场价:询价 会员价:询价
    GL-003007-250mg 250mg
    市场价:询价 会员价:询价
    GL-003007-25mg 25mg
    市场价:询价 会员价:询价
    GL-003007-500mg 500mg
    市场价:询价 会员价:询价
    GL-003007-50mg 50mg
    市场价:询价 会员价:询价
  • 吉美拉西杂质7
    英文名:Gimeracil Impurity 7
    产品编号:GL-003008 CAS号:1227600-22-7 分子式:C6H6ClNO2 分子量:159.57
    货号 品牌 规格 库存 价格 操作
    GL-003008-1mg 1mg
    市场价:询价 会员价:询价
    GL-003008-10mg 10mg
    市场价:询价 会员价:询价
    GL-003008-25mg 25mg
    市场价:询价 会员价:询价
    GL-003008-100mg 100mg
    市场价:询价 会员价:询价
    GL-003008-250mg 250mg
    市场价:询价 会员价:询价
    GL-003008-50mg 50mg
    市场价:询价 会员价:询价
    GL-003008-1g 1g
    市场价:询价 会员价:询价
    GL-003008-500mg 500mg
    市场价:询价 会员价:询价
  • 吉美拉西杂质8
    英文名:Gimeracil Impurity 8
    产品编号:GL-003009 CAS号:17902-24-8 分子式:C8H9ClN2O3 分子量:216.63
    货号 品牌 规格 库存 价格 操作
    GL-003009-1mg 1mg
    市场价:询价 会员价:询价
    GL-003009-10mg 10mg
    市场价:询价 会员价:询价
    GL-003009-25mg 25mg
    市场价:询价 会员价:询价
    GL-003009-100mg 100mg
    市场价:询价 会员价:询价
    GL-003009-250mg 250mg
    市场价:询价 会员价:询价
    GL-003009-50mg 50mg
    市场价:询价 会员价:询价
    GL-003009-1g 1g
    市场价:询价 会员价:询价
    GL-003009-500mg 500mg
    市场价:询价 会员价:询价
  • 吉美拉西杂质9
    英文名:Gimeracil Impurity 9
    产品编号:GL-003010 CAS号: 分子式:C3H3N3O2 分子量:113.08
    货号 品牌 规格 库存 价格 操作
    GL-003010-1mg 1mg
    市场价:询价 会员价:询价
    GL-003010-100mg 100mg
    市场价:询价 会员价:询价
    GL-003010-10mg 10mg
    市场价:询价 会员价:询价
    GL-003010-1g 1g
    市场价:询价 会员价:询价
    GL-003010-250mg 250mg
    市场价:询价 会员价:询价
    GL-003010-25mg 25mg
    市场价:询价 会员价:询价
    GL-003010-500mg 500mg
    市场价:询价 会员价:询价
    GL-003010-50mg 50mg
    市场价:询价 会员价:询价
  • 吉美拉西杂质10
    英文名:Gimeracil Impurity 10
    产品编号:GL-003011 CAS号: 分子式:C14H14Cl2N2O5 分子量:361.18
    货号 品牌 规格 库存 价格 操作
    GL-003011-1mg 1mg
    市场价:询价 会员价:询价
    GL-003011-100mg 100mg
    市场价:询价 会员价:询价
    GL-003011-10mg 10mg
    市场价:询价 会员价:询价
    GL-003011-1g 1g
    市场价:询价 会员价:询价
    GL-003011-250mg 250mg
    市场价:询价 会员价:询价
    GL-003011-25mg 25mg
    市场价:询价 会员价:询价
    GL-003011-500mg 500mg
    市场价:询价 会员价:询价
    GL-003011-50mg 50mg
    市场价:询价 会员价:询价
  • 吉美拉西杂质11
    英文名:Gimeracil Impurity 11
    产品编号:GL-003012 CAS号: 分子式:C22H28Cl2N2O14 分子量:615.38
    货号 品牌 规格 库存 价格 操作
    GL-003012-1mg 1mg
    市场价:询价 会员价:询价
    GL-003012-10mg 10mg
    市场价:询价 会员价:询价
    GL-003012-25mg 25mg
    市场价:询价 会员价:询价
    GL-003012-50mg 50mg
    市场价:询价 会员价:询价
    GL-003012-100mg 100mg
    市场价:询价 会员价:询价
    GL-003012-250mg 250mg
    市场价:询价 会员价:询价
    GL-003012-500mg 500mg
    市场价:询价 会员价:询价
    GL-003012-1g 1g
    市场价:询价 会员价:询价
  • 1
  • 2
  • 工作时间:8:30-5:30
    邮箱:shiqingran@wzxchem.com
    座机:025-57730341
    电话:15850510341
  • 新手入门

    用户注册 购物指南 销售条款 常见问题
  • 配送服务

    配送说明 配送资费 验货签收
  • 售后服务

    售后政策 退换货流程 退款说明 产品定制
  • 关于望知星

    公司介绍 联系我们
  • 微信公众号

Copyright ©2024南京望知星医药科技有限公司  备案号:苏ICP备19036622号-1

技术支持:库价化学
  • 0
  • 3007551076(客服一) 3007550650(客服二)
  • 13276650839 7*24小时客服服务热线
  • 石经理微信
首页 分类 购物车 会员
支持CAS号、货号批量搜索:一行一个